您现在所在的位置 : 首页 > 汕头市民政局 > 福利彩票 > 福彩要闻
分享到:
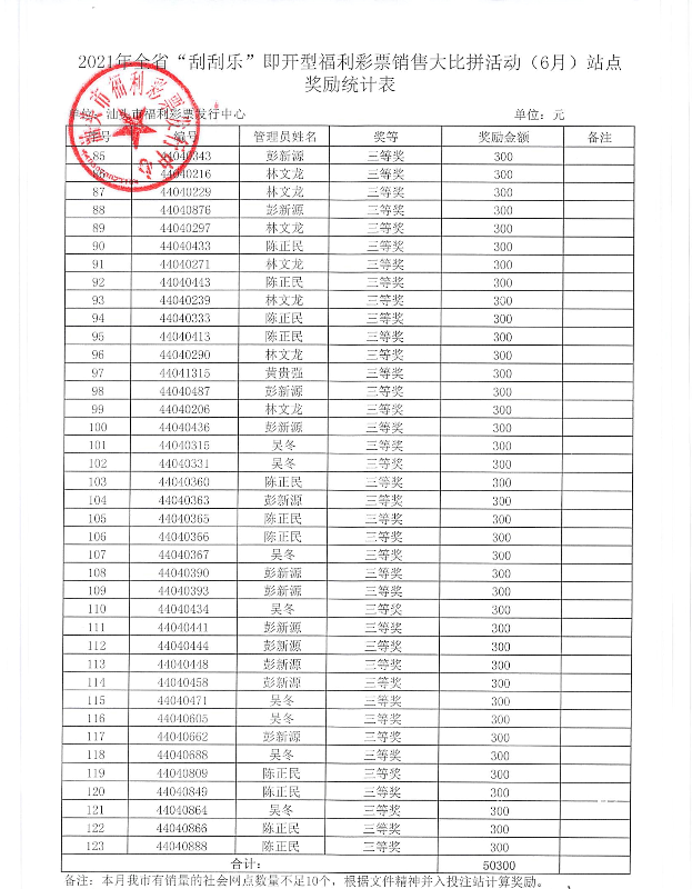
2021年全省“刮刮乐”即开型福利彩票销售大比拼活动6月份汕头站点及管理员奖励情况公示
  • 2021-07-07 10:00
  • 来源:本网
  • 发布机构:
  • 【字体:
  • 2021_07_07_10_04_060001.jpg2021_07_07_10_04_060004.jpg2021_07_07_10_04_060003.jpg2021_07_07_10_04_060002.jpg

      公示时间:2021年7月7日-7月11日,公示期间如有异议,请直接向市中心反映。

      联系电话:0754-88852611

      


    汕头市福利彩票发行中心

      2021年7月7日   


    相关附件:
     
    扫一扫在手机打开当前页

    您访问的链接即将离开“汕头市民政局门户网站”,是否继续?