您现在所在的位置 : 首页 > 汕头市民政局 > 福利彩票 > 福彩要闻
分享到:
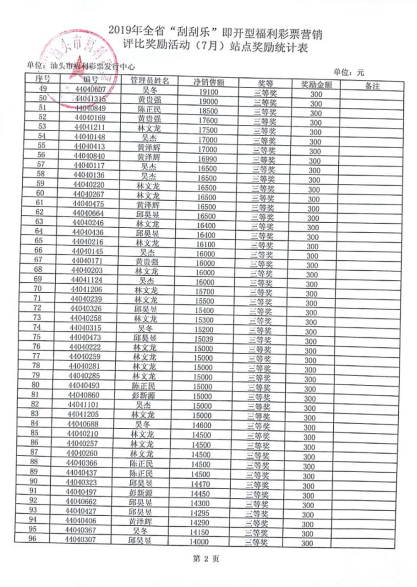
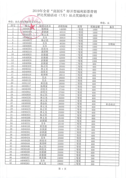
2019年全省“刮刮乐”即开型福利彩票营销评比奖励活动7月份汕头站点奖励情况公示
  • 2019-08-13 11:50
  • 来源:
  • 发布机构:
  • 【字体:
  • 2019年全省“刮刮乐”即开型福利彩票营销评比奖励活动7月份汕头站点奖励情况公示如下:

    公示时间:2019年8月13日-8月19日,公示期间如有异议,请直接向市中心反映。

    联系电话:0754-88852611

     汕头市福利彩票发行中心

    2019年8月13日


    相关附件:
    相关附件:
     
    扫一扫在手机打开当前页

    您访问的链接即将离开“汕头市民政局门户网站”,是否继续?