汕头市生态环境局
无障碍
长者助手
我的收藏
收藏
政府信息公开
规章库
高级搜索
搜索位置
标题
全文
排序方式
按时间
按相关度
搜索位置
标题
全文
文件状态
不限
现行有效
已失效
高级搜索
收起
搜索以下关键词
搜索位置
标题
全文
排序方式
按时间
按相关度
文件状态
不限
现行有效
已失效
搜索
汕头市生态环境局政府信息公开
规章
下载文字版
下载图片版
索引号:
11440500006997825L/2023-00316
分类:
发布机构:
汕头市生态环境局
成文日期:
2023-08-03
名称:
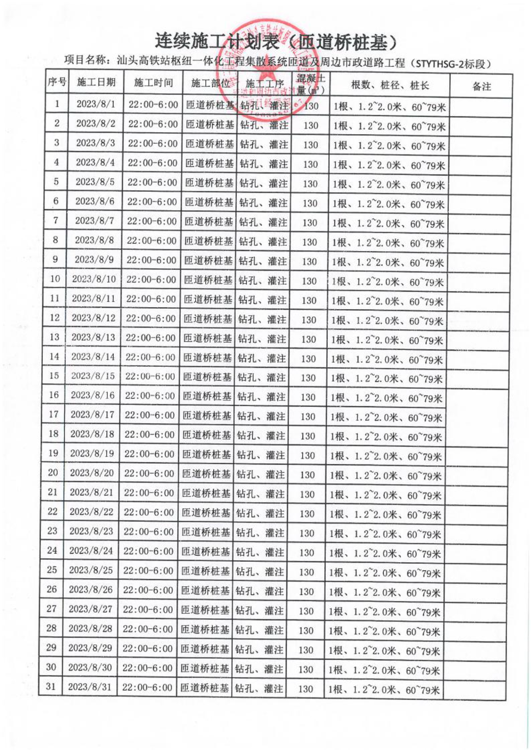
准予连续施工作业决定书(汕环龙湖施审【2023】29号)
文号:
发布日期:
2023-08-03
主题词:
【打印】
【字体:
大
中
小
】
分享到
:
准予连续施工作业决定书(汕环龙湖施审【2023】29号)
发布日期:2023-08-03 浏览次数:
-